No segundo post as melhores taxas sempre atualizadas
Depósitos a Prazo
- D@emoon
- Mensagens: 3659
- Registado: 03 out 2022 16:41
- Localização: Lisboa
- Has thanked: 905 times
- Been thanked: 1210 times
Depósitos a Prazo
Tópico para discutirem as melhores ofertas de depósitos a prazo.
No segundo post as melhores taxas sempre atualizadas
No segundo post as melhores taxas sempre atualizadas
- Anexos
-
- depósitos a prazo.jpg (7.9 KiB) Visto 113485 vezes
Última edição por D@emoon em 25 out 2023 14:49, editado 3 vezes no total.
Links: Site do Investidor // App Backtester "O risco vem de não saber o que se está a fazer" - Warren Buffett
Não enviem mensagens privadas, exponham as dúvidas com a comunidade!
Não enviem mensagens privadas, exponham as dúvidas com a comunidade!
- JRJordao
- Mensagens: 1842
- Registado: 04 out 2022 12:11
- Has thanked: 603 times
- Been thanked: 1085 times
Re: Depósitos a Prazo
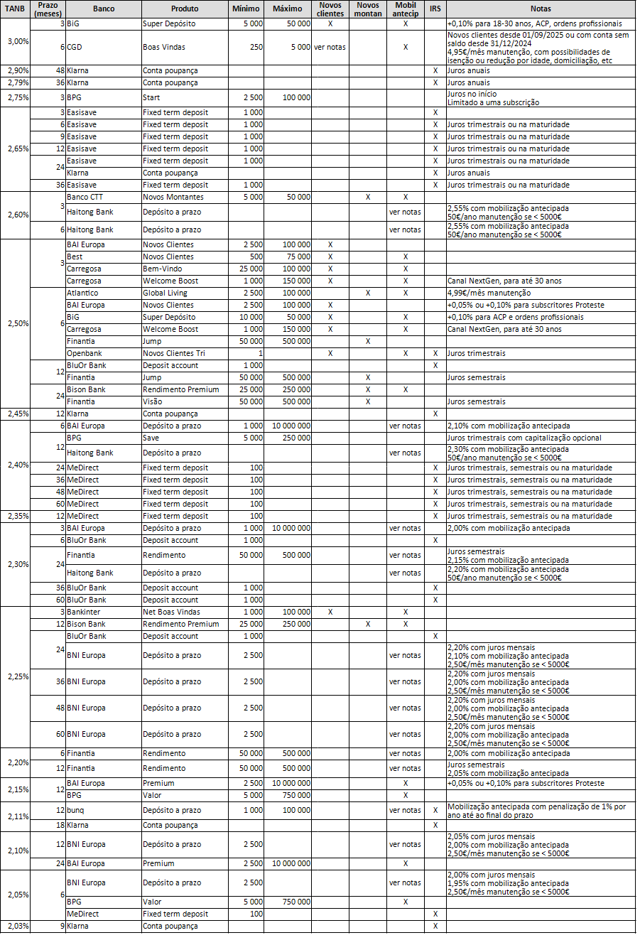
Ofertas com TANB > 2,00%
Última atualização: 12/11/2025
A coluna IRS assinala os estrangeiros, que requerem declaração da conta e juros recebidos.
Custos de manutenção (se existirem), mantendo o DP e durante o seu prazo, indicados na coluna Notas.
Muitos destes bancos oferecem transferências online gratuitas (Banco CTT, BAI, Bankinter, Best, Bison, BPG, Carregosa, Easisave, Klarna, MeDirect, Openbank), sujeitas a um limite diário entre 5k e 25k. Outros cobram 0,50€ (BluOr, Finantia), 1,00€ (BiG, EuroBic) ou 1,50€ (Atlântico, BNI, Haitong).
Não sendo um depósito a prazo, para o prazo de um ano, há também o seguro PPR Real Vida Capital Protegido com 3,25% no primeiro ano, após o qual a comissão de resgate é 0,25% e o imposto retido sobre o rendimento 21,5%. Subscrever diretamente à seguradora ou via mediador que não cobre comissão de subscrição. Retirar da declaração de IRS (anexo H quadro 6B) no próximo ano, para poder resgatar livremente.
.
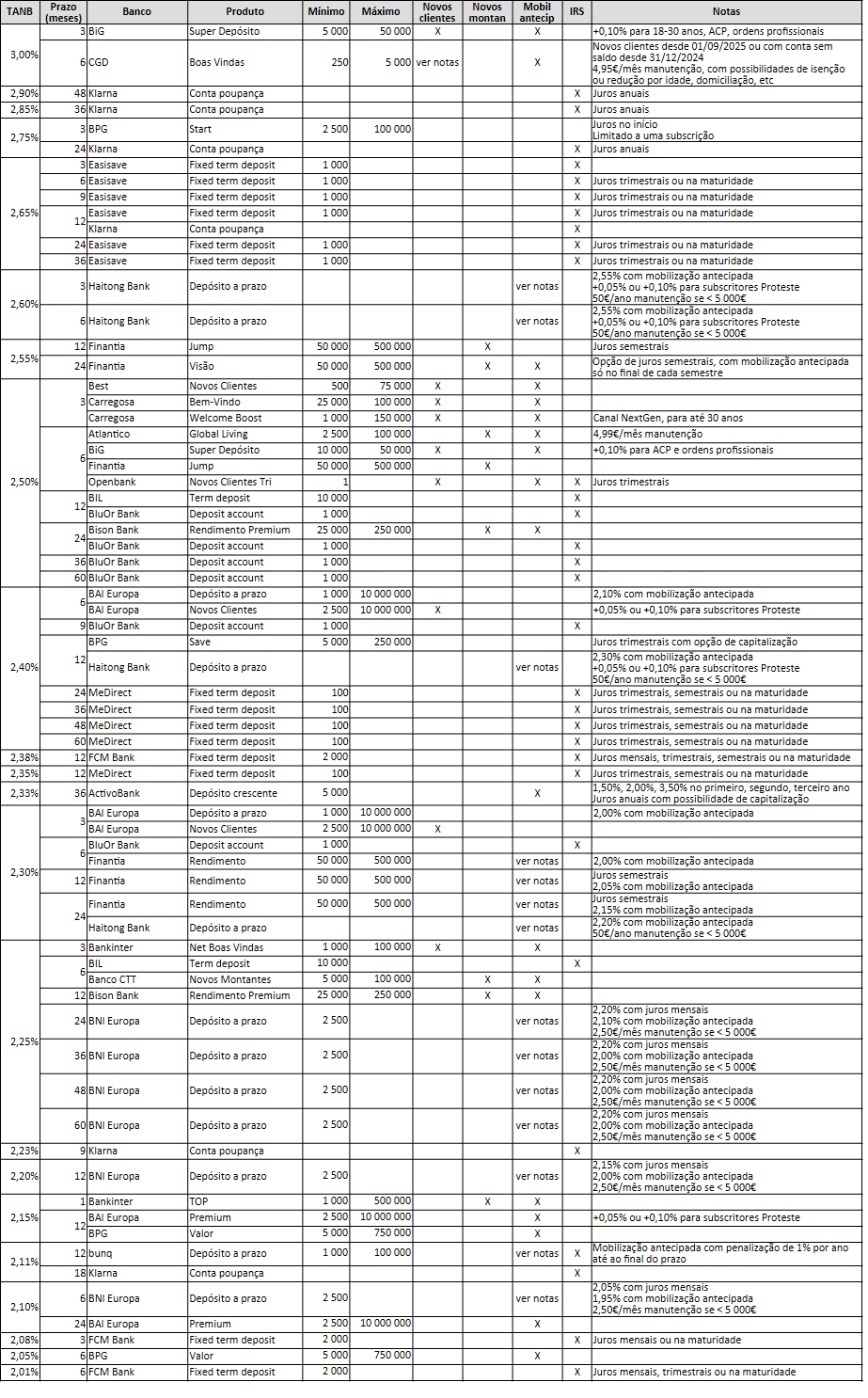
Última atualização: 12/11/2025
A coluna IRS assinala os estrangeiros, que requerem declaração da conta e juros recebidos.
Custos de manutenção (se existirem), mantendo o DP e durante o seu prazo, indicados na coluna Notas.
Muitos destes bancos oferecem transferências online gratuitas (Banco CTT, BAI, Bankinter, Best, Bison, BPG, Carregosa, Easisave, Klarna, MeDirect, Openbank), sujeitas a um limite diário entre 5k e 25k. Outros cobram 0,50€ (BluOr, Finantia), 1,00€ (BiG, EuroBic) ou 1,50€ (Atlântico, BNI, Haitong).
Não sendo um depósito a prazo, para o prazo de um ano, há também o seguro PPR Real Vida Capital Protegido com 3,25% no primeiro ano, após o qual a comissão de resgate é 0,25% e o imposto retido sobre o rendimento 21,5%. Subscrever diretamente à seguradora ou via mediador que não cobre comissão de subscrição. Retirar da declaração de IRS (anexo H quadro 6B) no próximo ano, para poder resgatar livremente.
.
- Anexos
-
- TopDPs.png (154.61 KiB) Visto 249 vezes
Última edição por JRJordao em 12 nov 2025 08:19, editado 242 vezes no total.
- JRJordao
- Mensagens: 1842
- Registado: 04 out 2022 12:11
- Has thanked: 603 times
- Been thanked: 1085 times
Re: Depósitos a Prazo
(this space for rent)
Última edição por JRJordao em 11 out 2023 15:02, editado 1 vez no total.
- D@emoon
- Mensagens: 3659
- Registado: 03 out 2022 16:41
- Localização: Lisboa
- Has thanked: 905 times
- Been thanked: 1210 times
Re: Depósitos a Prazo
Como integrante da administração tenho de fazer o meu trabalho
Links: Site do Investidor // App Backtester "O risco vem de não saber o que se está a fazer" - Warren Buffett
Não enviem mensagens privadas, exponham as dúvidas com a comunidade!
Não enviem mensagens privadas, exponham as dúvidas com a comunidade!
- Virtua
- Mensagens: 2738
- Registado: 03 out 2022 16:36
- Has thanked: 1049 times
- Been thanked: 1345 times
Re: Depósitos a Prazo
Já te piquei para os link fests
"We are drowning in information, while starving for wisdom."
- D@emoon
- Mensagens: 3659
- Registado: 03 out 2022 16:41
- Localização: Lisboa
- Has thanked: 905 times
- Been thanked: 1210 times
Re: Depósitos a Prazo
Recomendava colocar este tópico como principal a par dos CAs
Links: Site do Investidor // App Backtester "O risco vem de não saber o que se está a fazer" - Warren Buffett
Não enviem mensagens privadas, exponham as dúvidas com a comunidade!
Não enviem mensagens privadas, exponham as dúvidas com a comunidade!
- D@emoon
- Mensagens: 3659
- Registado: 03 out 2022 16:41
- Localização: Lisboa
- Has thanked: 905 times
- Been thanked: 1210 times
Re: Depósitos a Prazo
Tem de se testar a plataforma
Vá metam é oferta de depósitos
Links: Site do Investidor // App Backtester "O risco vem de não saber o que se está a fazer" - Warren Buffett
Não enviem mensagens privadas, exponham as dúvidas com a comunidade!
Não enviem mensagens privadas, exponham as dúvidas com a comunidade!
- JRJordao
- Mensagens: 1842
- Registado: 04 out 2022 12:11
- Has thanked: 603 times
- Been thanked: 1085 times
Re: Depósitos a Prazo
Com os CA a dar 3,5%, ninguém vai querer saber...
A TANB mais elevada que conheço é no BAI Europa, 3% a 3 meses para novos clientes.
https://www.bancobaieuropa.pt/particula ... os_a_prazo

Aqui estão esse e muitos dos melhores.
https://www.comparaja.pt/depositos-a-prazo
Ainda não reflete as novidades deste mês, mas em breve devem atualizar.
Acrescento o Openbank
- Conta Poupança com TANB 2,75% sobre até 10.000€ durante os primeiros 6 meses (novos clientes) link
- DP 12 meses com TANB 2% (novos montantes) link
- Virtua
- Mensagens: 2738
- Registado: 03 out 2022 16:36
- Has thanked: 1049 times
- Been thanked: 1345 times
Re: Depósitos a Prazo
Eu acho que é isso. Não vale a pena estar a "publicitar" depósitos. Quero "publicitar" o melhor produto de capital garantido. Quando voltarem a ser os DP trata-se de melhorar as coisas em relação a DPs.
Se te comprometeres a pesquisar os melhores até te faço uma coisa tipo esta no nosso site
https://www.comparaja.pt/depositos-a-prazo
"We are drowning in information, while starving for wisdom."
- D@emoon
- Mensagens: 3659
- Registado: 03 out 2022 16:41
- Localização: Lisboa
- Has thanked: 905 times
- Been thanked: 1210 times
Re: Depósitos a Prazo
Eu acho que cada tópico deve ter a sua vida própria, e cada um pode partilhar o que achou por ai, cada produto tem a sua especificidade, sem dúvida que o produto com capital garantido com melhor taxa neste momento são os CAs, mas nem todos secalhar estão dispostos a terem um produto que a cada 3 meses não se sabe a taxa que tem, ou não querer emprestar capital ao Estado e pode querer optar por um depósito com taxa fixa no seu ou outro banco.
Cada um toma depois a sua decisão, num país em que estão cerca de 90 mil milhões de euros em depósitos a prazo dizer-se que ninguém quer saber acho redutor, mas se ninguém quer saber então limito-me a ficar pelo tópico dos fundos que esse é que é para mim o melhor produto de todos
Cada um toma depois a sua decisão, num país em que estão cerca de 90 mil milhões de euros em depósitos a prazo dizer-se que ninguém quer saber acho redutor, mas se ninguém quer saber então limito-me a ficar pelo tópico dos fundos que esse é que é para mim o melhor produto de todos
Links: Site do Investidor // App Backtester "O risco vem de não saber o que se está a fazer" - Warren Buffett
Não enviem mensagens privadas, exponham as dúvidas com a comunidade!
Não enviem mensagens privadas, exponham as dúvidas com a comunidade!
- JRJordao
- Mensagens: 1842
- Registado: 04 out 2022 12:11
- Has thanked: 603 times
- Been thanked: 1085 times
Re: Depósitos a Prazo
"Ninguém" dos que por aqui passam. Não tive em consideração os perfis do género "idoso com conta na CGD há 40+ anos" pois imagino que o fórum ainda não tem esse nível de exposiçãoD@emoon Escreveu: ↑17 mar 2023 16:45 Cada um toma depois a sua decisão, num país em que estão cerca de 90 mil milhões de euros em depósitos a prazo dizer-se que ninguém quer saber acho redutor, mas se ninguém quer saber então limito-me a ficar pelo tópico dos fundos que esse é que é para mim o melhor produto de todos![]()
- Virtua
- Mensagens: 2738
- Registado: 03 out 2022 16:36
- Has thanked: 1049 times
- Been thanked: 1345 times
Re: Depósitos a Prazo
Por um lado percebo o que queres dizer, por outro não estamos sequer a falar de ETFs vs fundos. Estamos a falar de capital garantido com taxa, deviamos incentivar o pessoal a fazer o melhor que existe.
Como quando falamos que não podes claramente dizer qual o melhor fundo mas no caso dos ETFs podes categoricamente dizer que um é melhor que outro muitas vezes (um tem uma diferença face ao benchmark muito maior por exemplo).
Mas sim, não sou contra um tópico de depósitos, muito pelo contrário, até porque pode haver pessoal que queira discutir os depósitos A ou B, nem toda a gente anda sempre à procura da maior taxa.
Vamos ver se tem pernas
Como quando falamos que não podes claramente dizer qual o melhor fundo mas no caso dos ETFs podes categoricamente dizer que um é melhor que outro muitas vezes (um tem uma diferença face ao benchmark muito maior por exemplo).
Mas sim, não sou contra um tópico de depósitos, muito pelo contrário, até porque pode haver pessoal que queira discutir os depósitos A ou B, nem toda a gente anda sempre à procura da maior taxa.
Vamos ver se tem pernas
"We are drowning in information, while starving for wisdom."
- JRJordao
- Mensagens: 1842
- Registado: 04 out 2022 12:11
- Has thanked: 603 times
- Been thanked: 1085 times
Re: Depósitos a Prazo
Já agora na vossa opinião manter certificados do tesouro a dar 0.7 ou 0.8 + 20% do crescimento do PIB ou passar para um depósito destes de 2 a 2.5%.
Os depósitos começam a parecer me melhor opção.
Os depósitos começam a parecer me melhor opção.